| 这个作业属于哪个课程 | 构建之法-2021秋-福州大学软件工程 | 
| 这个作业要求在哪里 | 2021秋软工实践alpha冲刺 | 
| 团队名称 | 测码奔腾 | 
| 这个作业的目标 | Alpha冲刺(day7) | 
今日进度
| 成员姓名 | 完成的任务 | 完成任务时长 | 遇到问题 | 解决方式 | 
| 梁育诚 | 采用python的flask框架与前端进行交互 | 3h | 服务器尚未就绪 | 采用本地测试进行连接 | 
| 方奕林 | 与后端进行对接 | 3h | 对后端传输的数据进行分析 | 通过实际执行进行测试 | 
| 江山 | 与后端进行交互并与其他页面的文章标题进行统一 | 3h | 不了解前端同学的代码风格,很难理解他的代码 | 与同学交流并共同完善 | 
| 许叶源 | 采用python的flask框架与前端进行交互 | 3h | 服务器尚未就绪 | 采用本地测试进行连接。 | 
| 吾木提 | 继续学习前后端交互 | 3h | 看了很多教程,思路不是很清晰 | 请教同学,尽量完成 | 
| 杨建伟 | 与队友进行代码整合,实现搜索功能模块 | 3h | 对返回json型数据的处理 | 将json数据转化为数组存储 | 
| 翁子龙 | 前端所有代码整合 | 3h | 整合的过程中有一些命名规范和bug的问题 | 和对应组员交流研究后解决问题 | 
| 吴俊玮 | 服务器搭建 | 3h | 服务器搭建教程杂乱,易出错 | 暂时还未搭建成功,根据教程慢慢搭建试错 | 
| 林智垚 | 尝试在Navicat上将本地与云端华为服务器建立连接 | 3h | 如何在Navicat中与服务器中的数据库建立连接 | 通过查询相关资料预计组长提供的IP,用户名,密码等信息成功连接上了华为的云服务器,并创建了相应的数据库来存储数据,还开展了部分后端功能的测试 | 
介绍
今日能够进行本地连接完成前后端交互,可以显示界面并且展示信息,基本完成Alpha冲刺
贡献表
| 成员姓名 | 贡献程度(百分比) | 
| 梁育诚 | 11% | 
| 方奕林 | 11% | 
| 江山 | 11% | 
| 许叶源 | 11% | 
| 吾木提 | 12% | 
| 杨建伟 | 11% | 
| 翁子龙 | 11% | 
| 吴俊玮 | 11% | 
| 林智垚 | 11% | 
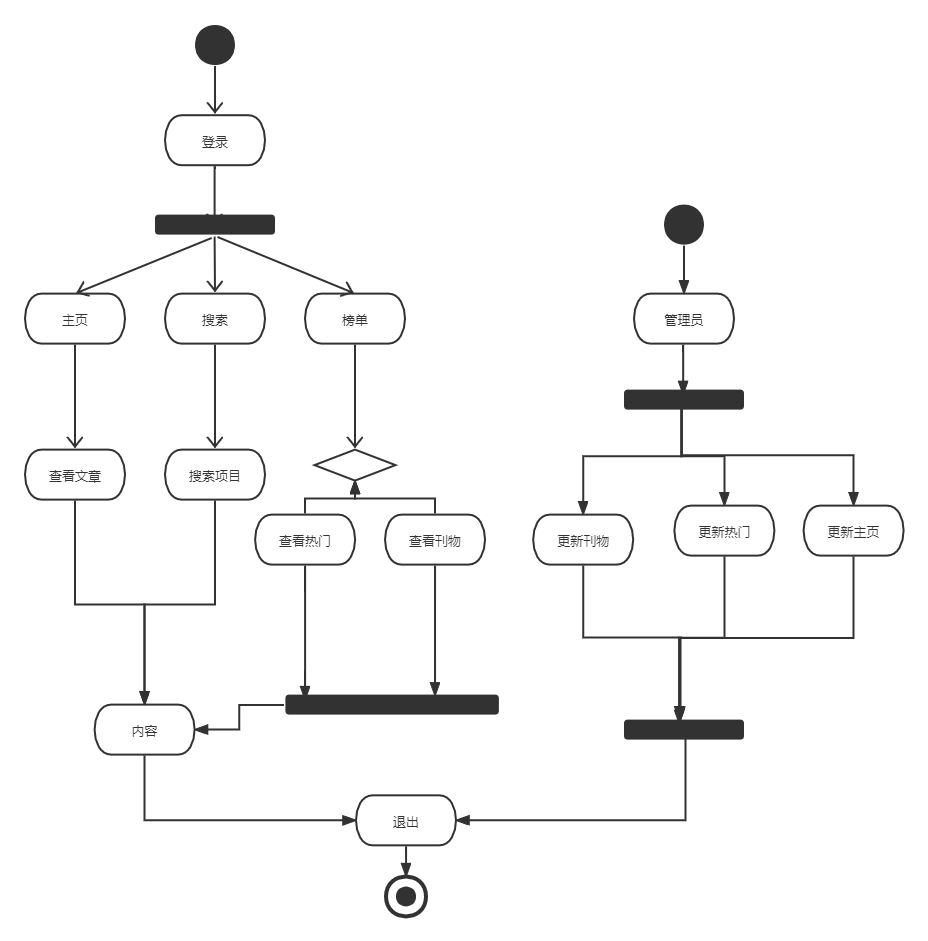
图
UML设计图
时序图
活动图
 
                                                        声明:本站部分文章及图片源自用户投稿,如本站任何资料有侵权请您尽早请联系jinwei@zod.com.cn进行处理,非常感谢!