统计学基于matlab,MATPLOT:一款基于MATLAB的地球化学数据分析成图软件

在地球化学研究中,数据图解可以直观展示数据的规律和特征,一直以来是研究人员必不可少的分析手段。迄今为止,国内外开发了多款数据分析成图软件(例如,

为了解决以上问题,并且满足目前研究工作中的一些需求,我们开发了一款基于MATLAB的地球化学数据成图软件——MATPLOT。该软件一方面可以在Windows、Mac OS或Linux系统下的MATLAB中运行(MATLAB APPS形式);还可以在安装对应版本的MATLAB支持包后,通过编译生成的软件程序独立运行在不同操作系统中(独立运行程序)。该软件不但可以处理一个数据表文件不同表单中的数据,同时还可以处理同一文件夹下不同数据表文件的数据,并且不需要数据具有严格一致的格式。通过MATPLOT可以对地球化学数据进行常用成图分析(包括Hf和Nd同位素演化图解)或简单的统计分析(平均值和相关性分析)。所有成图均可导出为位图或矢量图,用于后期添加注释和说明。

1 结构与功能

MATPLOT程序的主界面(

图 1

Fig. 1

图 2

MATPLOT功能结构图

Fig. 2

Functional components of MATPLOT

1.1 数据处理

MATPLOT加载或保存的数据文件格式为“*.mat”,它是一种特定的MATLAB数据文件格式。一个有效的MATPLOT数据文件由四部分组成:(1)数据类型名。目前支持“全岩地球化学(Bulk Geochemistry)”和“锆石Hf(Zircon Hf)”两种模式,后续将支持其它数据类型;(2)变量名为“DataMat”的数据;(3)成图参数名和(4)成图参数。为了使用方便,MATPLOT会在启动时自动加载最后一次成功保存的数据文件。

在导入数据时,MATPLOT不但可以导入同一个Excel不同表单中的数据,还可以导入指定文件夹下所有Excel中的数据。程序将自动按照指定的变量名结构对数据汇总整理。在MATPLOT中可以自定义变量名结构表,也可以设置变量宏以用于自动计算。

表 1

Table 1

表 1(Table 1)

表 2 MATPLOT中支持的运算函数和表达式

Table 2

Functions and expressions of data operation supported in MATPLOT

功能表达式

通用运算+、-、*、/、^、(、)

除(x1/x2)idivide(x1, x2)

取整round(x)

x的自然对数log(x)

数组x的最大值max(x)

数组x的最小值min(x)

表 2 MATPLOT中支持的运算函数和表达式

Table 2 Functions and expressions of data operation supported in MATPLOT

在读取数据文件或导入数据后,MATPLOT可以将数据导出为Excel格式或以制表符分隔的文本格式。

1.2 参数设置

在MATPLOT主界面的设置功能(SETTINGS)下,可以对软件的默认工作目录(Default work path)、成图坐标系尺寸(Diagram size)、预设成图(Provided diagram)参数、同位素衰变常数(Decay Constant)和常用Nd和Hf同位素储库(Reservoirs)值进行设定或修改。其中,在重置预设成图参数时,MATPLOT将读取“config”目录下对应Excel中的参数设置然后生成新的参数文件。

在成图参数(即数据点/线格式)功能(STYLE)下,可以对成图时的数据系列格式进行设定。作为基于MATLAB环境开发的程序,MATPLOT支持13种数据点格式和4种线条格式。在MATPLOT中,不仅可以在软件中逐一设置数据系列格式,同时还支持根据从Excel批量导入数据系列格式。

1.3 数据成图

MATPLOT成图分两部分,一部分是自定义成图(FREE PLOT),另一部分是预设成图(PROVIDED diagram)。二者具有完全相同的成图界面(

图 3

Fig. 3

图 4

全岩地球化学数据的预设成图主界面

Fig. 4

Graphical interface of provided diagrams for bulk geochemistry

1.4 统计分析

在MATPLOT中,可以对数据进行简单地统计分析,包括计算变量平均值和变量相关性分析。

变量平均值计算(

图 5

Fig. 5

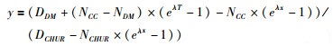
(1)

c403e3a21466060b8270eb700cb53b30.png

(2)

在MATPLOT中,根据公式(1)和公式(2),取50Ma和地壳模式年龄值1/100的较小值为间隔,计算模式年龄演化线。因此,通过MATPLOT绘制同位素演化图的准确性相对较高。在一些极端情况下,MATPLOT和常规方法的成图结果差异明显。例如,现今到4600Ma之间,对于亏损地幔εHf(t)演化线和模式年龄为4600Ma的大陆平均地壳演化线(如果有意义),通过两种不同方式获得结果的最大偏差分别可达0.22和0.77。

2.3 加权平均值计算

在MATPLOT和Isoplot两款软件中均提供对数据进行异常点检验后,再计算图基双权和误差相关加权平均值,但异常点检验的方法有所不同。

在图基双权加权平均值的计算方法中,数据的权重和数据与平均值的距离有关。显著离群数据的权重甚至会被赋为0,即被识别为异常点(t检验)对样品中异常点进行检验,检验参数t取常用的5%(

在Isoplot中,两种不同的加权平均值计算使用统一的异常点检验方法。这是一种与数据误差有关的处理方法(

由上可见,在数据中不存在异常点时,MATPLOT和Isoplot可以给出一致的加权平均值。在数据中存在异常点时,Isoplot只能对具有误差的数据进行异常点检验,而MATPLOT还可以对没有给出误差的数据进行异常点分析。对于二者异常点检验结果的可靠性,可能还需要进一步的研究探讨。

3 小结

MATPLOT是一款采用MATLAB进行开发实现的地球化学数据成图软件,可运行于Windows/Mac/Linux多平台中。该软件可以对大量数据的二元散点图、三角图、标准化折线图、柱状图、概率密度图和同位素演化图等6种常用图解类型进行成图,同时还可以对数据开展简单的统计分析。相对于目前主流的同类软件,MATPLOT还具有以下主要特点:

(1) 导入数据方便。MATPLOT可以对不同格式和不同文件中的数据进行汇总导入。

(2) 成图便捷,图件精度高。在预设成图时,可以快速完成多个所需图解。对于同位素演化图和概率密度统计图,MATPLOT相对于目前常用方法的成图精度更高。

(3) 在完成数据成图后,可以快速地设置坐标系参数,隐藏或显示指定的数据系列及其显示格式和指定数据系列的分布范围,以及在概率密度图中标记极大值和极小值等常用的功能。

(4) 导出的矢量图中冗余元素少,便于后期处理和添加注释说明。

致谢

感谢杨奇荻、王增振、刘超、张建军和童英等人对软件初期版本进行了大量测试,并提供了许多有益建议。

相关资源:岩质边坡稳定分析软件-其它文档类资源-CSDN文库

声明:本站部分文章及图片源自用户投稿,如本站任何资料有侵权请您尽早请联系jinwei@zod.com.cn进行处理,非常感谢!

上一篇 2021年3月10日
下一篇 2021年3月10日

相关推荐