项目名称:单词记忆系统app(自闭了)
项目概述
| 项目 | 内容 | 
|---|---|
| 课程 | 大型应用软件设计 | 
| 团队名称 | W O R D | 
| 项目名称 | 单词记忆系统(自闭了) | 
| 参考文献 | 《软件工程》(Roger S.Pressman) | 
团队成员及分工
| 成员姓名 | 分工 | 比重 | 
|---|---|---|
| 宋凯伦 | 建立github代码库 | 20% | 
| 吴岱岚 | 制作ppt | 20% | 
| 杨骏轩 | 撰写博客 | 20% | 
| 黄栋 | 撰写需求文档 | 20% | 
| 孔祥龙 | 搜集资料 | 20% | 
1. 引言
1.1 目的
定义总体要求,作为用户和软件开发人员之间相互了解的基础;提供性能要求、初步设计和对用户影响的信息,作为开发人员进行设计和实施的基础;作为总体验证和确认的依据。同时对功能需求、性能需求进行了详细的描述。便于用户、开发人员进行理解和交流,反映出用户问题的结构,可以作为软件开发工作的基础和依据以及确认测试和验收的依据。
 产品名称(中文):单词记忆系统(自闭了)
 产品名称(英文):MWS(Memory Words System)(self-closed)
1.2 背景
随着国际化的发展,英语变得越来越为重要。随着越来越多的人开始学习英语,一个方便实用的英汉查询工具为人们所渴望。电子词典是一种将传统的印刷词典转成数码方式、进行快速查询的数字学习工具。使用电子词典查询英语,效率远远高于传统的图书查询,而且解释更为详尽,词库更新更为方便快捷。作为大学生,很多人都面临着CET, TOFEL, ILETS, GRE, GMAT等各种英语水平考试的压力,好的学习方法和工具可以使得英语学习事半功倍。出于此目的,本软件应运而生。
1.3 定义
| 序 | 缩写 | 定义 | 
|---|---|---|
| 1 | app | 应用程序,Application的缩写,一般指手机软件。 | 
| 2 | Android | Android是一种基于Linux的自由及开放源代码的操作系统,主要使用于移动设备,如智能手机和平板电脑,由Google公司和开放手机联盟领导及开发。 | 
2. 产品描述
2.1 产品描述
单词记忆系统(自闭了)是一个在Android平台下运行的app,为了满足目前考试导向型学习者在复习考试时,需要在短时间内高效率记忆,完成复习任务,达到考试目标的需求。
 本系统的1.0版本主要实现单词记忆功能,预计之后能增加各种不同的背单词模式(自闭模式,抱佛脚模式,长期模式)。
2.1.1 构思
- 学习情况统计:本系统以图表的方式记录用户复习的点滴,每每回顾用户都有一种成就感,并配合丰富的奖励策略。
- 学习策略:我们对市面上的大部分单词记忆软件进行了分析,预想出三种功能来进行单词的记忆——“记、考、玩”。三种模式分别对应不同的记忆方法,对应不同心态的学习。
2.2 用户需求与分析
1. 用户需求
 英语考试邻近需要迭代脑海中的词库。
 能够不受时间、地点限制,随时随地能够学习英语。
 能够运用合适的学习方法,科学的记忆英语单词。
3. 用户定位
 学生:学业任务繁重,需要高效记忆英语单词。
 白领:日常生活工作需要,提升自己。
 英语爱好者:需要一个有趣的方式记忆单词。
2.3 产品功能
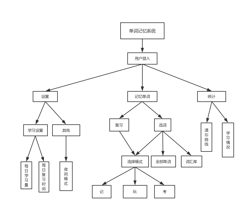
1. 用户登录界面
 进行用户登录,并提供用户注册功能
2. 设置界面
 此界面可以对“每日学习量”与“每日复习提醒时间”进行调整,其他设置中目前只包括“夜间模式”功能
3. 记忆单词界面
 此界面包含系统的主要功能,即单词记忆功能。可以进行复习与选词两种选择。两种选择只是选词不同。“复习”是从已经学习过的单词中抽取单词,“选词”是添加新单词进行记忆。
 记忆单词分三种模式——“记”“玩”“考”。
 “记”是展示单词来进行记忆,有该单词常用词组与读音进行提醒;
 “玩”是通过图片来展示单词,加强对单词的记忆;
 “考”是直接展示单词,需用户直接输入词义。
4. 统计界面
 反馈用户的学习背诵情况,会提供图表来进行遗忘曲线模拟,以及对学习情况展示。
2.4 产品功能框架
 
Github链接:click me
声明:本站部分文章及图片源自用户投稿,如本站任何资料有侵权请您尽早请联系jinwei@zod.com.cn进行处理,非常感谢!