文章目录
- 
- 1 静态
- 2 动态
- 
- 2.1 逻辑覆盖
- 
- 2.1.1 语句覆盖
- 2.1.2 判定覆盖
- 2.1.3 条件覆盖
- 2.1.4 判定条件覆盖
- 2.1.5 条件组合覆盖
- 2.1.6 路径覆盖
 
- 2.2 基本路径测试法(重点)
 
- 小结
 
白盒设计方法分为静态和动态。
1 静态
静态的白盒测试方法有桌面检查、代码审查、代码走查和代码扫描工具。
2 动态
动态的白盒测试方法有逻辑覆盖法和基本路径测试法。
2.1 逻辑覆盖
逻辑覆盖法有语句覆盖、判定覆盖、条件覆盖、判定条件覆盖、条件组合覆盖和路径覆盖。
例1
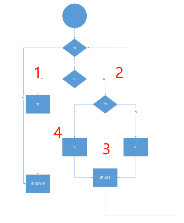
将上述程序画出流程图,如下:
 
给定流图G的圈复杂度V(G),定义为V(G)=E-N+2,E是流图中边的数量,N是流图中节点的数量。技巧:边数——数箭头,结点——数判断框和语句
 边数10,结点8,所以V(G)=10-8+2。
给定流图G的圈复杂度V(G),定义为V(G)=P+1,P是上图中判定节点的数量。V(G)=3+1
用环路复杂度验证测试用例是否覆盖全了。
第三步,导出可执行路径
 回头看例子的程序流程图,此例子可导出路径为:
 路径1:P1-退出程序
 路径2:P1-P2-S1-退出程序
 路径3:P1-P2-P3-S2-退出P3-P1-退出程序
 路径4:P1-P2-P3-S3-退出P3-P1-退出程序
第四步,设计测试用例
| 测试数据 | 覆盖路径 | 
|---|---|
| a=0 | 路径1 | 
| a=1,b=0 | 路径2 | 
| a=1,b=1 | 路径3 | 
| a=1,b=2 | 路径4 | 
小结
白盒测试主要应用于单元测试阶段。白盒设计用例一般使用基本路径测试,重点模块使用多个覆盖率标准。
声明:本站部分文章及图片源自用户投稿,如本站任何资料有侵权请您尽早请联系jinwei@zod.com.cn进行处理,非常感谢!