1. 定义和介绍
McCabe度量法:(来自百度百科)McCabe度量法是由托马斯·麦克凯(Thomas McCabe)提出的一种基于程序控制流的复杂性度量方法。
McCabe复杂性度量又称环路度量。它认为程序的复杂性很大程度上取决于程序图的复杂性。单一的顺序结构最为简单,循环和选择所构成的环路越多,程序就越复杂。这种方法以图论为工具,先画出程序图,然后用该图的环路数作为程序复杂性的度量值。程序图是退化的程序流程图。也就是说,把程序流程图的每一个处理符 都退化成一个结点,原来连接不同处理符 的流线变成连接不同结点的有向弧,这样得到的有向图就叫做程序图。
程序图仅描述程序内部的控制流程,完全不表现对数据的具体操作分支和循环的具体条件。因此,它往往把一个简单的if语句与循环语句的复杂性看成是一样的。
根据图论,在一个强连通的有向图G中,环的个数V(G)由以下公式给出:
V(G)=m-n+2p其中,V(G)是有向图G中环路数,m是图G中弧数,n是图G中结点数,p是图G中强连通分量个数。
2. 相关概念:
强连通(Strongly Connected)是指一个有向图(Directed Graph)中任意两点v1、v2间存在v1到v2的路径(path)及v2到v1的路径。也即两个节点之间形成了回路。
连通 :一个图中,两个节点之间有路径相连。
如果将一个有向图所有有向边替换为无向边之后的无向图是连通的,则被称作弱连通(weakly connected)。如果对于任意一对顶点u,v,或者存在一条从u到v的有向路径,或者存在一条从v到u的有向路径,则该图是单连通(unilaterally conncected)的。如果对于如果对于任意一对顶点u,v,同时存在一条从u到v的有向路径和一条从v到u的有向路径,则该图是强连通(strongly connected)的。
强连通分量则是指一张有向图G的极大强连通子图G’。如果将每一个强连通分量缩成一个点,则原图G将会变成一张有向无环图。
连通子图:一个图是另外一个图的子图,并且它连通。
极大(强)连通子图:一个图的(强)连通子图,并且加入任何一个不在它的点集中的点都会导致它不再(强)连通。
一般的程序流程图/程序框图,大多数节点之间的连接都是依时间顺序单向的(程序流程图不考虑循环重复调用语句的情况)。为了能够使用McCabe度量法进行环路复杂度的测度,一般假设程序的出口处有一条虚线连接回入口处,使得程序流程图成为强联通图。因而使用该公式时,强联通分量p取2。
3. 两个例子
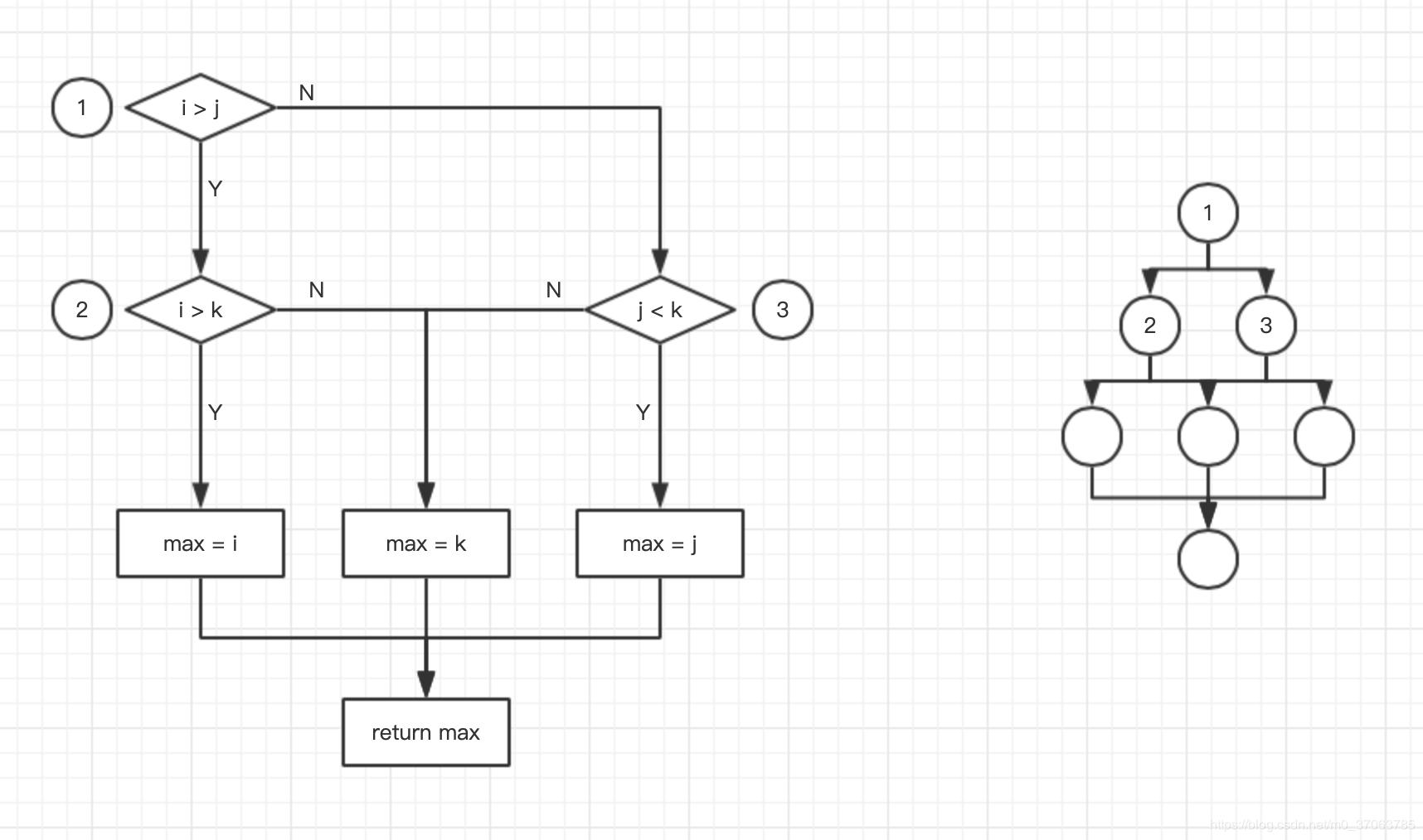
例1. 对下图所示流程图采用白盒测试方法进行测试,若要满足路径覆盖,则至少需要( 1 )个测试用例。采用McCabe度量法计算该程序对环路复杂性为( 2 )。

要满足条件覆盖,要求三个判断框的Y和N至少要经过一次,即:1Y2Y,1Y2N,1N3Y,1N3N,至少需要4个测试用例。
根据McCabe度量法环路复杂性公式V(g)=m-n+2,图中m=9,n=7, V(g)=9-7+2=4。
那么答案应是:4个用例,环路复杂度为4。
总结
比较重要的部分是清晰地界定好概念,以及根据程序语句准确画出程序流程图。
声明:本站部分文章及图片源自用户投稿,如本站任何资料有侵权请您尽早请联系jinwei@zod.com.cn进行处理,非常感谢!